用户名:
密码:
永久登录
新用户注册
忘记密码
首 页
|
加入收藏
首页
助学窗口
公益新闻
公益法规
志愿者风采
财务信息
理论资讯
调查与反馈
助学流程
春苗简介
公益论坛
您现在的位置:春苗助学网》
反馈
>>新闻内容
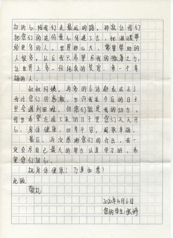
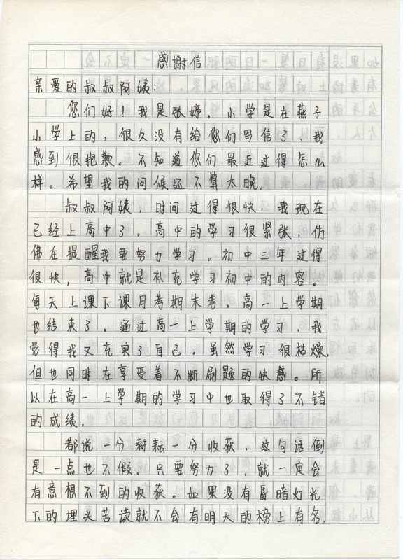
受助学生反馈信:张婷
发布人:
丛林之狐
发布时间:
2020-04-16 10:53:25
点击:
413 次
评论信息
该文共有评论
0
条
查看更多评论
用户名:
密码:
关于我们
| 版权声明 |
管理登陆
|
川公网安备 51150202000159号
蜀ICP备05030341号
版权所有 春苗助学网 www.chunmiao.org 网站维护:
成都世纪守护科技有限公司
春苗公益助学中心联系电话0831-8200339 0831-8200229